| ГЛАВНОЕ |
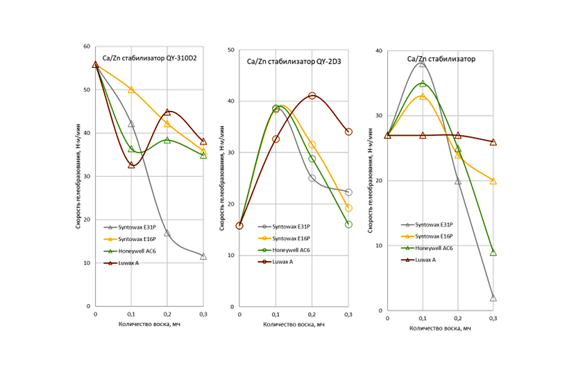
СТАТЬИ И ОБЗОРЫ Российские воски для ПВХ: эффективная замена импортным аналогам| Тема: Сырье Производители поливинилхлорида (ПВХ) сегодня стоят перед выбором: продолжать использовать импортные добавки через параллельный импорт, перейти на отечественные аналоги или закупать продукцию в Китае. Компания FT Chem («Форпласт Трейдинг») взялась за разработку российских аналогов. Чем это выгодно? Российские аналоги обеспечивают близость производителя, техническую поддержку и адаптацию под нужды заказчика, хотя и требуют дополнительных испытаний. РезюмеНеокисленные полиэтиленовые воски играют ключевую роль в рецептурах жесткого ПВХ, регулируя течение расплава и обеспечивая заданную геометрию профиля. Их использование также улучшает внешний вид продукции, включая цвет и глянец. Для подтверждения эффективности отечественных аналогов компанией FT Chem проведены лабораторные испытания на пластографе Hapro, моделирующем процесс экструзии. Результаты доказали, что российские воски, такие как Syntowax E 31P (А) и Syntowax E 16P, могут успешно заменять импортные аналоги, такие как Luwax A и Honeywell AC 6A. Экспериментальная частьВ серии экспериментов проводилось сравнение близких по параметрам восков (марки указаны в таблице ниже) с дозировкой: 0,1; 0,2; 0,3 массовые части (далее м.ч.) на 100 м.ч. смолы ПВХ-С 263RB и 20 м.ч. мела, обработанного стеариновой кислотой. В качестве стабилизатора использованы внутренний рецепт стеаратов Ca/Zn, стабилизаторы Sintuh Xilda QY-2D6, QY-310D2 в количестве 3 м.ч.
* Марки производятся в России компанией FT Chem («Форпласт Трейдинг») Критериями эффективности внешней смазки могут быть сравнительные данные о скорости пластикации (Gelation speed), времени гелеобразования (Fusion time), максимальный крутящий момент пластикации (X), минимальный крутящий момент при уплотнении смеси (В), время (A-B) при разных количествах ввода. Согласно литературным данным, минимальная точка кривой крутящего момента может быть принята как начало процесса пластикации и работы, необходимой для начала желирования. Очевидно, что добавки для внешнего смазывания должны увеличивать время пластикации и снижать внутреннее трение (пластикацию за счет внутренней энергии) и как следствие — значения крутящих моментов. Ниже представлены графики влияния воска на переработку смеси ПВХ в пластографе с добавлением смеси стеаратов кальция и цинка: ![]() Влияние воска на переработку смеси ПВХ в пластографе с добавлением смеси стеаратов кальция и цинка Установлено, что, несмотря на близость показателей качества восков листам технических данных, эти воски проявляют различное поведение в рабочей смеси ПВХ при ее переработке в условиях нашего эксперимента. Результаты показывают увеличение времени до момента начала роста крутящего момента с ростом количества воска в смеси, снижая нагрузки по экстремумам. При этом максимальное проявление свойств и замедление пластикации при равном вводе установлены для Syntowax E 31P (А). Далее проведена оценка скорости гелеобразования: ![]() Оценка скорости гелеобразования при вводе вводе установлены для Syntowax Результаты также свидетельствуют о задержке пластикации ПВХ при вводе неокисленного воска. Обратите внимание, что влияние воска на параметры процесса в случаях применения смесевого комплексного стабилизатора Xinda Sintah неоднозначно ввиду многокомпонентности one-pack стабилизатора. При этом в случае использования смеси стеаратов в качестве стабилизирующей добавки влияние восков прослеживается более четко. Влияние восков дополнительно оценивали, визуально контролируя приготовление смеси при разборке лабораторного смесителя. На всех образцах масса была пластичной и с поверхностным глянцем. С Syntowax E 31P (А), по визуальной оценке, получен наилучший результат по цвету. ВыводыСерией испытаний установлено, что по комплексному действию воски, взятые в рамках настоящего исследования в дозировке от 0,1 до 0,3 массовые части, можно разделить на два блока по взаимозаменяемости марок: 1. Syntowax E 16P и Luwax A Необходимо учитывать, что дозировки, взятые авторами в рамках данного исследования, не являются предельными и могут быть изменены в зависимости от результатов испытаний в промышленных условиях. В рамках работы лабораторными испытаниями подтверждена возможность замены импортных восковых добавок на доступные отечественные аналоги, в частности на неокисленные полиэтиленовые воски Syntowax E 31P (А) и Syntowax E 16P. Таким образом, переход на российские аналоги не только снижает зависимость от импорта, но и обеспечивает стабильное качество продукции при оптимизации затрат. СТАТЬИ ПО ТЕМАМ
Статьи публикуются с разрешения автора и обязательным указанием ссылки на источник Редакция оплачивает на договорной основе Приглашаем специалистов к сотрудничеству в качестве внештатных авторов и консультантов! По вопросам публикации и оплаты статей обращайтесь в редакцию: Полное или частичное копирование любых материалов, опубликованных на Plastinfo.ru, для размещения Полное или частичное использование любых материалов, размещенных на Plastinfo.ru, |
Реклама ОПРОС НА PLASTINFO.RU
|

