Изоляционные свойства, неспособность проводить электрический ток долгое время рассматривались как качества, естественным образом присущие большинству полимерных материалов. Действительно, именно изоляционные свойства полимеров являются их важнейшим достоинством, определяющим многочисленные практические применения.
Однако в последние двадцать лет были открыты новые полимерные материалы с электропроводностью, лишь ненамного уступающей электропроводности металлов. Их открытие стало настоящей сенсацией, поскольку могло повлечь за собой появление новых типов электронных и оптоэлектронных устройств, и положило начало исследованиям в области синтеза и изучения свойств подобных материалов. Исследователи должны решить два основных вопроса: 1) каков механизм проводимости полимерных соединений и 2) какова взаимосвязь между составом, строением мономера и проводимостью полимерного соединения.
Проводящие полимерные материалы делятся на две большие группы: полимеры с ионной проводимостью или твердые полимерные электролиты и полимеры с электронной проводимостью, которые и являются предметом настоящей статьи. В свою очередь, полимеры с электронной проводимостью разделяют на так называемые органические металлы (полимеры с проводимостью, близкой по механизму к электропроводности металлов; этот тип полимерных соединений в англоязычной литературе имеет широко распространенное название «conducting polymers» — «проводящие полимеры», которое мы и будем использовать) и редокс-полимеры, то есть соединения, в которых перенос электрона осуществляется главным образом за счет протекания окислительно-восстановительных реакций между соседними фрагментами полимерной цепи.
Проводящие полимеры
Первым проводящим полимером, с которого началось развитие исследований в данном направлении, был полиацетилен [(CH)n] (рис. 1). В виде твердых серебристых пленок в 1974 году его впервые синтезировал из ацетилена Хидеки Ширакава в Токийском технологическом институте. В 1977 году он же одновременно с учеными из США установил, что частичное окисление полиацетилена молекулярным иодом или другими реагентами увеличивает его проводимость в 109 раз:
(CH)n + 0,5I2 – (CH)+n(I3)-0,33
В частично окисленной форме полимер можно рассматривать как соль, состоящую из положительно заряженных ионов полимера и равномерно распределенных по его структуре противоионов, поддерживающих общую электронейтральность системы.
Многие проводящие полимеры могут быть получены из мономеров методом электрохимического окисления на поверхности инертного электрода. К их числу относится, например, полипиррол (см. рис. 1), полученный впервые в 1980 году методом электрохимического окисления пиррола в ацетонитрильном растворе, содержащем для придания ему электропроводности перхлорат тетрабутиламмония, исследователем из компании IBM Артом Диасом:


Рис. 1. Примеры проводящих полимеров и сравнение их проводимости с проводимостью некоторых веществ
Полимеры, полученные электрохимическим методом на поверхности электрода, могут быть переведены из проводящего (окисленного) в непроводящее (восстановленное) состояние путем изменения потенциала электрода. Переход полимера из окисленного в нейтральное восстановленное состояние сопровождается выходом зарядкомпенсирующих противоионов из полимера в раствор электролита, в котором проводится процесс, и наоборот (рис. 2).
Рис. 2. Окисление и восстановление пленки проводящего полимера: а - восстановленное нейтральное состояние полимера - изолятор; б - частично окисленное состояние полимера - проводник
Перенос заряда в проводящих полимерах
Определим Pn как периодически повторяющийся фрагмент цепи полимера, способный к обмену полным зарядом с редокс-партнером (или электродом электрохимической системы) и вследствие этого переходящий из одного редокс-состояния в другое (то есть окисляющийся или восстанавливающийся). Необходимо отметить, что структурная, периодически повторяющаяся единица цепи полимера P и рассматриваемый фрагмент Pn не всегда идентичны. Последний может содержать n структурных фрагментов P, причем n может быть и нецелым числом.
В результате редокс-реакции с участием Pn образуется катион (анион) радикал, а затем, возможно, и ди-катион (дианион):

Так же как и в химии окислительно-восстановительных реакций мономерных молекул, катион-радикальный фрагмент полимера может вступать в реакцию диспропорционирования:

Реакция диспропорционирования зависит от температуры и других параметров, в том числе от природы и характера взаимодействия с противоионами. Таким образом, в одном и том же полимере за счет реакций диспропорционирования могут встречаться различные редокс-состояния фрагментов.
Ион-радикалы и диионы, образующиеся в соединениях с разветвленной системой л-связей, способны к образованию комплексов с переносом заряда с исходными незаряженными соединениями (если этому не препятствуют пространственные факторы). Образование подобного комплекса из двух фрагментов демонстрирует следующее уравнение:

Важно понимать, что электронные свойства полимерного материала определяются как взаимодействием отдельных молекул одной цепи, так и переносзарядными взаимодействиями между фрагментами различных цепей.
Когда электрон удаляется из валентной зоны полимера с системой сопряженных связей, возникающая при этом вакансия («дырка» или катион-радикал) не претерпевает полной делокализации, как это можно было бы ожидать, основываясь на классической зонной теории. Происходит только частичная делокализа-ция, распространяющаяся на фрагмент Pn и вызывающая структурную деформацию этого участка полимера. Уровень энергии, соответствующий возникшему катион-радикалу, по сути дела представляет собой уровень дестабилизированной связывающей орбитали, следовательно, он выше энергии верхней границы валентной зоны и попадает в запрещенную зону (рис. 3). Это увеличение энергии напоминает увеличение энергии заполненной связывающей молекулярной орбитали после удаления с нее электрона.
Катион-радикал, частично делокализованный по фрагменту полимера, называется поляроном. Он стабилизируется, поляризуя окружающую среду, оправдывая свое название.
Рис. 3. Схема возникновения уровней энергии поляронов и энергетических зон биполяронов
Если следующий электрон удаляется из уже окисленного полимера, содержащего полярон, события могут развиваться двояко:
1) электрон удаляется из другого участка полимерной цепи и возникает новый, независимый от первого полярон;
2) электрон удаляется из того участка полимерной цепи, где уже присутствует полярон (речь идет о неспа-ренном электроне, образовавшемся в процессе возникновения первого полярона), при этом образуется дикатион, называемый биполяроном. Первоначально при окислении полимера в основном происходит образование поляронов. При увеличении окисленности полимера возможно и образование биполяронов.
Возникновение биполярона также вызывает структурную деформацию окружающей среды. Два положительных заряда биполярона не являются независимыми, они функционируют как пара. Как поляроны, так и биполяроны мобильны и под действием электрического поля способны двигаться вдоль полимерной цепи путем реорганизации двойных и одиночных связей в сопряженной системе:

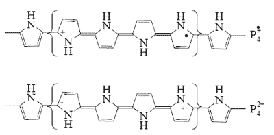
При образовании большого количества биполяронов их энергетические уровни начинают перекрываться, образуя узкие биполяронные зоны в границах запрещенной зоны (см. рис. 3). В случае полипиррола при низких уровнях окисления полимера происходит образование парамагнитных поляронов. При увеличении уровня окисления поля-роны преобразуются в биполяроны, каждый из которых локализуется на протяжении примерно четырех пиррольных колец. Заряженный фрагмент из четырех пиррольных колец может двигаться вдоль полимерной цепи за счет реорганизации системы двойных и одиночных связей. Ниже показаны полярон и биполярон в молекуле полипиррола:

Поляронная теория проводимости ныне признана основной моделью переноса заряда в полимерах. Необходимо, однако, отметить, что она была развита для полимеров с недостижимой в реальных условиях идеальной структурой.
Редокс-Полимеры
Большинство из известных к настоящему времени редокс-полимеров — это металлокомплексные соединения, получение которых, как правило, осуществляют путем электрохимической полимеризации исходных мономерных комплексных соединений, имеющих как октаэдрическую, так и плоско квадратную конфигурацию. В качестве примера редокс-полимеров, получаемых из октаэдрических исходных комплексных соединений, можно привести полипиридиновые комплексы состава poly-[Me(v-bpy)(L)], где Me = Co, Fe, Ru, Os; L = v-bpy (4-винил-4'-метил-2,2'-бипиридин), фенан-тролин-5,6-дион, 4-метилфенантролин, 5-аминофе-нантролин, 5-хлорфенантролин (x+y=3). Указанные соединения получают путем электрохимического восстановления мономерных комплексов, при котором первоначально образуются радикальные промежуточные частицы, далее взаимодействующие между собой или с молекулами исходного комплекса. Это показано ниже на примере образования полимера из октаэдрического комплекса с 5-хлорфенантролиновыми лигандами:


Сшивка исходных молекул происходит по трем направлениям в соответствии с их геометрией, в результате чего полимер имеет трехмерную структуру. Примером редокс-полимеров, получаемых из плоскоквадратных металлокомплексов, могут служить соединения poly-[Me(Schiff)], где Schiff — четырехдентатные (то есть образующие с металлическим центром четыре связи) основания Шиффа:

Указанные полимерные комплексы получают путем электрохимического окисления мономерных мо¬лекул. Образование связей между фрагментами можно в первом приближении рассматривать с точки зрения донорно-акцепторного взаимодействия между лигандом одной молекулы и металлическим центром другой; в результате происходит образование так называемых одномерных или стековых макромолекул. Внешне совокупность таких макромолекул представляет собой твердую прозрачную пленку на поверхности электрода, имеющую различный цвет в зависимости от природы металла и наличия заместителей в структуре лиганда.
Перенос заряда в редокс-полимерах
Редокс-центрами (атомами, участвующими в окислительно-восстановительных реакциях в полимере) являются ионы металла, которые могут находиться в различном зарядовом состоянии. Так, комплексы металлов, имеющих только одно возможное зарядовое состояние (цинк, кадмий), не образуют редокс-полимеров. Необходимым условием проводимости редокс-полимеров является наличие в лигандном окружении комплексов разветвленной системы сопряженных л-связей, служащих проводящими мостами между редокс-центрами. Когда редокс-полимер полностью окислен или полностью восстановлен, то есть все его редокс-центры находятся в одном зарядовом состоянии, перенос заряда по цепи полимера невозможен и проводимость близка к нулю. Когда редокс-центры имеют разное зарядовое состояние, между ними возможен обмен электроном подобно тому, как это происходит в растворах при протекании окислительно-восстановительных реакций. Отсюда проводимость редокс-полимеров пропорциональна константе скорости самообмена электроном между редокс-центрами (kco) и концентрациям окисленных и восстановленных центров ([Ox] и [Red]) в полимере:
Проводимость ~ kco[Ox] [Red]
Проводимость максимальна при одинаковых концентрациях окисленных и восстановленных редокс-центров, что соответствует условиям, когда редокс-система имеет стандартный окислительно-восстановительный потенциал E0([Ox]/[Red]). Существование редокс-центров в различных зарядовых состояниях послужило основанием для использования по отношению к редокс-полимерам на основе координационных соединений названия «смешанно-валентные» или «частично-окисленные» комплексы. Переход молекул редокс-полимера из окисленного в восстановленное состояние сопровождается, подобно тому как это описано выше для проводящих полимеров (см. рис. 2), выходом зарядкомпенсирующих противоионов из полимера в раствор электролита, в котором проводится процесс, и наоборот.
В целом проводимость редокс-полимеров существенно меньше проводимости органических металлов и достигает величин порядка 10-2 - 10-3 С/см. Это связано со многими причинами, одной из которых является ограниченность скоростей редокс-реакций. Однако наряду с этим недостатком редокс-полимеры имеют и серьезные преимущества:
1) металлокомплексы в целом по сравнению с органическими соединениями предоставляют значительно более широкие возможности для управления свойствами полимеров за счет варьирования природы (электронной структуры) металлического центра. В качестве одного из многочисленных примеров, подтверждающих данное положение, можно привести существенное расширение числа оптических электронных переходов в металлокомплексах по сравнению с органическими соединениями за счет появления переходов лиганд — металл и интервалентных переходов. Это открывает новые возможности управления оптическими свойствами полимеров с помощью электрического управляющего сигнала;
2) некоторые из металлокомплексов, например [Me(Schiff)], являются аналогами важнейших природных ферментов-биокатализаторов, в частности окси-геназы и пероксидазы. Это позволяет прогнозировать создание на их основе новых полимерных электрокаталитических систем, отличающихся высокой эффективностью и селективностью работы, характерной для биокатализаторов.
Некоторые направления использования проводящих полимерных соединений
Химические источники тока
Аккумуляторные батареи (рис. 4, а) были одним из первых коммерческих продуктов, основанных на применении проводящих полимерных соединений. В качестве материала положительного электрода в них используют полипиррол, политиофен или полианилин. Материалом для изготовления отрицательных электродов обычно служат литий или его сплавы (например, с алюминием).
В процессе разряда аккумулятора электроны двигаются от отрицательного электрода к положительному по внешней цепи. При этом литий окисляется, переходя в электролит в виде положительно заряженных ионов, полимерное соединение восстанавливается, что сопровождается переходом зарядкомпенсирующих анионов из полимера в электролит. При заряде аккумулятора от внешнего источника тока на электродах протекают обратные процессы.
Электролитом может быть как солевой раствор на основе пропиленкарбоната, часто использующегося как растворитель в источниках тока, так и полимерная мембрана, насыщенная соответствующей солью лития (твердый полимерный электролит). В последнем случае аккумулятор вовсе не содержит жидкой фазы, что делает его наиболее безопасным и удобным.
Рис. 4. Применение проводящих полимерных соединений: а - в химических источниках тока; б - в электрокаталитических системах
Электрокаталитические системы
Основным направлением использования проводящих полимеров и редокс-полимеров в каталитических системах является разработка химически модифицированных электродов (ХМЭ). ХМЭ представляет собой электрод из химически инертного материала с нанесенным на его поверхность слоем проводящего соединения, являющегося каталитически активным по отношению к протекающей в системе электрохимической реакции (см. рис. 4, б). Метод химической модификации электродов позволяет расширить круг традиционно применяемых электродных материалов (весьма, кстати, небольшой), увеличить избирательность их действия, реализовать возможность создания материалов с заранее заданными свойствами. В настоящее время ХМЭ на основе проводящих полимерных соединений используют для каталитического окисления метанола и предельных углеводородов в мягких условиях, восстановления галогенопроизводных предельных углеводородов, восстановления диоксида углерода, катализа редокс-реакций с участием биомолекул (энзимов и коэнзимов).
Управляемые оптические устройства
Одной из замечательных особенностей пленок проводящих полимерных соединений является их способность изменять свои оптические характеристики, в частности цвет, при изменении уровня окисления. Если уровень окисленности полимера регулируется потенциалом электрода, на который этот полимер нанесен, оптическими характеристиками полимера можно управлять с помощью электрического сигнала — проявляется так называемый электрохромный эффект. В частности, редокс-полимеры на основе комплексов [Me(Schiff)] при переходе из окисленного в восстановленное состояние изменяют свой цвет с темно-зеленого, оранжевого, красно-коричневого, синего (в зависимости от природы металлического центра и лигандного окружения) на желтый различных оттенков. Нанося электрохромные полимерные материалы методом электрополимеризации на оптически прозрачные электроды (кварцевые пластины с напыленным слоем прозрачных электропроводных оксидов олова и индия), можно получать электрохромные системы для использования в цветных дисплеях, затворных и фильтрующих оптических устройствах.
Хемотронные и сенсорные устройства
На рис. 5, а представлена схема микроэлектрохимического транзистора, основанного на применении электрохимически активного полимерного материала (проводящего полимера или редокс-полимера). Устройство состоит из двух металлических (золото или платина) микроэлектродов, находящихся на расстоянии порядка 1 мкм в слое полимера. Важнейшей характеристикой полимерного материала является то, что его проводимость зависит от степени его окисленности, которая контролируется потенциалом управляющего электрода Uу. Принцип действия микроэлектрохимического транзистора полностью аналогичен принципу действия обычных транзисторов. При изменении управляющего напряжения Uу электрохимически активный полимер окисляется или восстанавливается. При этом изменяется его проводимость, а следовательно, изменяется и величина тока, протекающего между электродами Iэ при постоянной величине напряжения Uэ.
На рис 5, б приведена вольт-амперная характеристика (зависимость между током Iэ и управляющим напряжением Uу) для микроэлектрохимического транзистора с редокс-полимером. Ток Iэ протекает только в узком диапазоне управляющих напряжений, обычно в пределах 100 мВ от стандартного потенциала E° редокс-пары, присутствующей в полимере. Максимальное значение тока достигается именно при Uу = E°, так как именно это состояние системы соответствует равным концентрациям окисленных и восстановленных центров полимера, то есть его максимальной проводимости.
Рис. 5. Схема микроэлектрохимического транзистора с применением редокс-полимера (а) и вольт-амперная характеристика транзистора (б)
Редокс-полимерные соединения как материалы для микроэлектрохимических устройств имеют по сравнению с проводящими полимерами два преимущества: узкая область напряжений, при которых происходит включение транзистора, и чувствительность к составу среды, в которой протекают редокс-реакции полимера. Первое преимущество определяет возможность функционирования транзистора в заданном узком диапазоне управляющих напряжений. Разнообразие имеющихся редокс-систем с разными значениями стандартных потенциалов дает возможность выбора необходимого диапазона. Зависимость свойств редокс-полимера от состава и концентрации компонентов электролита (кислорода, pH) открывает возможности создания на базе рассматриваемых устройств электрохимических сенсорных элементов. Поскольку при переходе к нанотехнологическим методам производства хемотронных устройств расстояния между электродами могут быть уменьшены до величин порядка нанометров, малосущественным, очевидно, станет и отставание редокс-полимеров от органических металлов по проводимости.
Синтез и изучение новых проводящих полимерных со¬единений — сравнительно молодое и прогрессирующее направление исследований, находящееся на стыке различных областей химии (координационная химия, электрохимия, органическая химия, катализ, химия твердого тела) и физики (теория проводимости, физика твердого тела, оптика). Современное состояние данного научного направления можно охарактеризовать как период интенсивного накопления информации о новых полимерных материалах, их свойствах и способах применения, период создания модельных устройств. Дальнейшее развитие химии проводящих полимерных соединений приведет к появлению на их основе принципиально новых промышленных каталитических, электронных и оптоэлектронных систем.
А. М. Тимонов, С. В. Васильева
Российский государственный педагогический университет им. А.И. Герцена, Санкт-Петербург
Соросовский образователный журнал. 2000. Т. 6, № 3